A function can be seen as a machine that transforms an input to an output.
Definition:
A function f: A -→ B is a rule that assigns to each element x in the set A, a unique element f(x) in the set B.
In this definition, the set A of all possible input values is called the domain. The set B is called the co-domain of the function.

Info
Left side is the “Domain” and right side is “Co-Domain” Left side is the “Input” and right side is the “Output”
Definition:
The range R of a function f: A -→ B is the set of all possible values of f(x) as x varies throughout the domain.
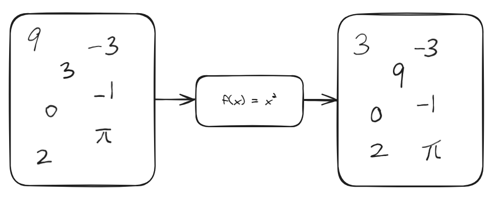
Example
The set A of all possible input values is called the domain. The set B is called the co-domain of the function.
Definition:
The range R of a function f: A -→ B is the set of all possible values of f(x) as x varies throughout the domain A.
Example
∈ represents set membership and means “is an element of”.
Definition of Maximal Domain:
The maximal domain of f(x) consists of all real numbers x for which the value f(x) is a real number.
Example
Maximal domain: { x ∈ ℝ | x ≠ 0} = (-∞, 0) ∪ (0, ∞)